Detailed balance provides a technique to calculate the maximum efficiency of photovoltaic devices. Originally the method was proposed by Shockley and Queisser in 1961 [1]. An extended version was published in 1984 by Tiedje et al. [2].
Detailed balance in its simplest and most common implementation makes several fundamental assumptions:
- The mobility is infinite, allowing collection of carriers no matter where they are generated.
- Complete absorption of all photons above the band gap.
The calculations for detailed balance calculations involve calculating the particle flux for different configurations of the Plank’s equation. The general form of the equation is:

The general approach is to calculate the absorption flux and the flux emitted from the solar cell. The difference between these two (multiplied by q) is the current from the solar cell.
Absorption flux
The absorption consists of two parts; one from the sun and the other from the other regions of the sky. Under maximum concentration, the optics makes it such that the entire surrounding of the solar cell is illuminated by radiation of the same temperature of the sun. Under conditions other than maximum concentration, one portion of the sky (shown in yellow below) is illuminated from the sun, and the remainder is illuminated from a radiation source with the same temperature as the Earth. The maximum concentration is calculated based on the size of the sun’s disc in the sky and is given by 46,300.

Schematic representation of approximations used in detailed balance. On the left image light is collected from the entire hemisphere which corresponds to maximum concentration. For lower or no concentration the Sun can be seen as an arc giving lower particle flux.
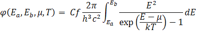
The absorption from the sun is given by:
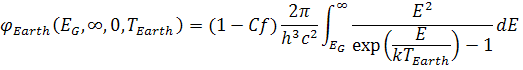
And the absorption from the black body radiation of the earth is:

The total absorption of the solar cell is:

Emission flux
The emission from the solar cell depends on the quasi-Fermi level separation (μ) of the solar cell. Under short circuit conditions, m is zero. The emission is calculated by:
Calculation of efficiency for a fixed Eg and black body
The power from the solar cell depends on the band gap and on the quasi-Fermi level separation. For a given band gap, the quasi-Fermi level separation must be varied to find the maximum power point, i.e., where
![]()
is at a maximum. This is done by varying m from 0 to close to the open circuit condition (where φ1 = φ2), and find where the power is at a maximum.
The efficiency is then defined as:

Efficiency as a function of band gap
To find the efficiency as a function of band gap, the above procedure is repeated for each band gap. There is an range of bandgaps for the optimum cell efficiency as shown in the graph below.

Limiting solar cell efficiency as a function of the material bandgap for one-sun illumination. The calculations assume that the only recombination is radiative. In actual devices the efficiencies are lower due to other recombination mechanisms and losses in parasitic resistances.
AM1.5 Spectrum
To find the efficiency under an AM1.5 spectra (or other measured spectra), φ1 is replaced by the summation of the photon flux for energies above the band gap, and the power from the sun is replaced by the summation of the power in the measured spectra.
- 1. , “Detailed Balance Limit of Efficiency of p-n Junction Solar Cells”, Journal of Applied Physics, vol. 32, pp. 510-519, 1961.
- 2. , “Limiting Efficiency of Silicon Solar Cells”, IEEE TRANSACTIONS ON ELECTRON DEVICES, vol. ED-31, 1984.